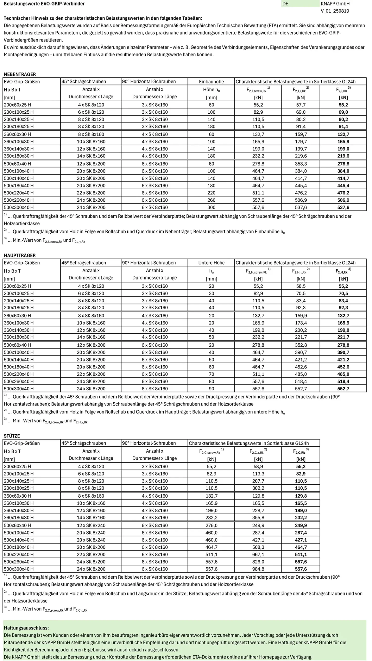
EVO GRIP™ – Variabler Schwerlastverbinder
 
                            
Standard und Solo für noch mehr Kraft
Mit dem EVO GRIP hat Knapp einen Haupt-/Nebenträger- und Stützenanschluss für mittlere bis extrem hohe Lasten (55kN bis 550kN) auf den Markt gebracht. Der variable Schwerlastverbinder kombiniert zwei baugleiche Verbinder Platten aus hochfestem Aluminium mit einer rückseitigen Riffelung für noch besseren Halt.
Die Riffelung drückt sich in das Holz und geht mit ihm eine formschlüssige Verbindung ein. Dadurch wird die Tragfähigkeit der Verbindung um bis zu 40 Prozent stark erhöht, während die Anzahl der benötigten Schrauben und deren Dimensionierung reduziert werden.
Breite und Höhe des für Holz-Holz-, Holz-Beton- und Holz-Stahlanschlüsse geeigneten Verbinders können parametrisch an die Trägerbreiten, die geforderten Traglasten und Brandschutzanforderungen angepasst werden. Dank der erhöhten Tragfähigkeit lassen sich kleinere Verbindungsmittel einsetzen, wodurch größere Holzüberdeckungen für den Brandschutz erhalten bleiben. Dies ermöglicht zugleich eine größere Flexibilität bei der Dimensionierung der Trägerquerschnitte.
Die Standardvariante des EVO GRIP wird als konventionelle Einhängevariante für extreme Lasten eingesetzt und zeichnet sich durch einen geringen Einhängeweg und ausreichend Bewegungsfreiheit zur einfachen Montage aus. Zusätzlich verfügt diese Variante über eine Querlastsicherung.
Speziell für hohe Träger, die sich unter Last durchbiegen, ist der EVO GRIP als Solo-Variante mit gelenkiger Verbindung erhältlich. Durch die optimale Anordnung der Schrauben kann auf eine Querzugverstärkung verzichtet werden.
Der EVO GRIP wurde bereits als Wand-Decken-Verbinder im Lignotrend-Sägerwerk in Ibach eingesetzt und hat dort seine Leistungsfähigkeit unter Beweis gestellt.
- höhere Tragfähigkeit für ästhetische, materialsparende Konstruktionen
- Solovariante mit gelenkiger Verbindung für Anschlüsse an hohe Träger erhältlich
- Standardvariante für extreme Lasten erhältlich
- besserer Brandschutz erzielbar
- flexible Abmessungen
- vergleichsweise kleinere Verbinder Größen bei gleichbleibender Tragfähigkeit möglich
- variables Bohrbild
- kurze Einhängewege bei ausreichender Bewegungsfreiheit
Video Sägehalle Lignotrend
Broschüre Sägehalle Lignotrend
Hier geht es zum Blog-Beitrag „Lignotrend Sägewerk setzt auf Knapp Verbinder“
 
                     
                                     
                


 
                                         
                         
                         
                        